93/2007. (XII. 18.) KvVM rendelet
93/2007. (XII. 18.) KvVM rendelet
a zajkibocsátási határértékek megállapításának, valamint a zaj- és rezgéskibocsátás ellenőrzésének módjáról
A környezet védelmének általános szabályairól szóló 1995. évi LIII. törvény 110. § (8) bekezdés m) pontjában foglalt felhatalmazás alapján, a környezetvédelmi és vízügyi miniszter feladat- és hatásköréről szóló 165/2006. (VII. 28.) Korm. rendelet 1. § a) pontjában meghatározott feladatkörömben eljárva – az egészségügyi miniszter feladat- és hatásköréről szóló 161/2006. (VII. 28.) Korm. rendelet 1. § a) pontjában meghatározott feladatkörében eljáró egészségügyi miniszterrel egyetértésben – a következőket rendelem el:
1. § (1)1 E rendelet hatálya nem terjed ki
a) a környezeti zaj értékeléséről és kezeléséről szóló 280/2004. (X. 20.) Korm. rendelet szerinti stratégiai zajtérkép készítésével kapcsolatban,
b) a stratégiai környezeti vizsgálat keretében, illetve
c) a stratégiai dokumentumok előkészítése keretében és a stratégiai dokumentumokhoz készített hatásvizsgálat érdekében
végzett mérésekre és számításokra.
(1a)2 Üzemi és szabadidős zajforrás zajkibocsátási határértékét (a továbbiakban: zajkibocsátási határérték) az 1. számú mellékletben meghatározott módon a zajforrás hatásterületére kell megállapítani.
(2) Azokra a zajtól védendő épületekre, amelyeket csak bizonyos napszakban vagy szezonálisan használnak, csak a használat időtartamára kell zajkibocsátási határértéket megállapítani.
(3) Az üzemi létesítmény zajkibocsátását a rendszeresen (évente legalább tizenkét alkalommal) előforduló legnagyobb környezeti zajkibocsátású üzemelési állapot alapján kell értékelni.
(4)3
2. § (1) A zajkibocsátási határérték megállapítása iránti kérelmet a 2. számú melléklet szerinti űrlapon kell benyújtani.
(2) Amennyiben külön jogszabály vagy a környezetvédelmi hatóság előírása értelmében a zajforrás hatásterületét méréssel vagy számítással kell meghatározni és a környezetvédelmi hatóságnál még nem áll rendelkezésre, a zajkibocsátási határérték megállapítása iránti kérelemhez csatolni kell:
a) a tervezett állapotot megelőző háttérterhelés mértékére irányuló vizsgálat eredményeit, valamint
b) a hatásterület számítására vonatkozó eredményeket.
(3)4 Ha az üzemeltető a zajkibocsátási határérték megállapítását a környezeti zaj- és rezgésterhelési határértékek megállapításáról szóló 27/2008. (XII. 3.) KvVM–EüM együttes rendelet [a továbbiakban: 27/2008. (XII. 3.) KvVM–EüM együttes rendelet] 1. melléklet 2. pontja alapján kéri, a kérelemhez mellékelni kell:
a)5 a nemzetközi licenc másolatát és magyar nyelvű fordítását,
b) a 4. § (1c) bekezdése szerinti zajmonitoring rendszer leírását, valamint
c) a zajkibocsátás csökkentése érdekében tervezett intézkedéseket, azok várható eredményét, és az intézkedések műszaki és adminisztratív megvalósításához, szükséges időtartamot.
3. §6 (1) A zajkibocsátási határérték megállapítása után minden olyan, az üzemi és szabadidős zajforrás területén bekövetkező változást, amely a határérték mértékét és teljesülését befolyásolja, a zajforrás üzemeltetője a 3. számú melléklet szerinti tartalommal köteles bejelenteni a környezetvédelmi hatóságnak.
(2) Nemzetközi licenccel rendelkező versenypályák esetén a környezeti zaj és rezgés elleni védelem egyes szabályairól szóló 284/2007. (X. 29.) Korm. rendelet [a továbbiakban: 284/2007. (X. 29.) Korm. rendelet] 11. § (5) bekezdés b) pontja szerinti bejelentésnek tartalmazni kell:
a) az üzemeltető és a versenypálya azonosítására szolgáló adatokat,
b) az adott naptári évben – a bejelentést megelőzően – a zajkibocsátási határérték alóli felmentéssel érintett napok dátumát és az azokon mért megítélési szinteket a 284/2007. (X. 29.) Korm. rendelet szerinti kritikus pontra vonatkoztatva,
c) azoknak a napoknak a dátumát, amelyen az üzemeltető a zajkibocsátási határérték alóli felmentéssel élni kíván,
d) a felmentéssel érintett napokon megtartásra kerülő rendezvény vagy esemény megnevezését, jellegét, rövid leírását,
e)7 a felmentés idején a 284/2007. (X. 29.) Korm. rendelet szerinti kritikus ponton várható zajkibocsátás mértékét az alábbi sávok egyikének megadásával:
ea) 48–55 dB,
eb) 56–60 dB,
ec) 61–65 dB,
ed) 66–70 dB,
f)8 az e) pont ed) alpontjának alkalmazása esetén az üzemeltető nyilatkozatát arról, hogy a felmentés ideje alatt megtartásra kerülő eseti rendezvény a 27/2008. (XII. 3.) KvVM–EüM együttes rendelet szerinti nemzetközi versenynek minősül.
(3) A (2) bekezdés b) pontja szerinti felmentéssel érintett napok dátumának megadásakor a korábbi felmentésre irányuló bejelentésekben szereplő napok közül csak azokat kell figyelembe venni, amelyeken a zajforrás zajkibocsátása ténylegesen túllépte a környezetvédelmi hatóság által a felmentéssel nem érintett napokra megállapított zajkibocsátási határértéket.
4. § (1)9 Az üzemi vagy szabadidős zajforrás zajkibocsátását e rendelet előírása vagy a környezetvédelmi hatóság döntése esetén – az (1c) bekezdésben foglalt kivétellel – eseti méréssel kell meghatározni.
(1a)10 Annak a nemzetközi licenccel rendelkező versenypályáknak az üzemeltetője, aki a zajkibocsátási határérték megállapítását a 27/2008. (XII. 3.) KvVM–EüM együttes rendelet 1. melléklet 1. pontja alapján kéri és a 27/2008. (XII. 3.) KvVM–EüM együttes rendelet 2/B. § (1) bekezdése szerinti menetességet igénybe veszi, a felmentéssel érintett napokon eseti zajmérést végez.
(1b)11 Az (1a) bekezdésben foglaltaktól eltérő esetben az eseti zajmérés elvégzésére való kötelezésről a környezetvédelmi hatóság
a) a technológia és egyedi zajforrásainak jellege,
b) a védendő épületektől és területektől való távolság, valamint
c) a zajméréssel már vizsgált zajforrások vonatkozásában a rendelkezésére álló zajmérési eredmények
mérlegelésével dönt.
(1c)12 A 27/2008. (XII. 3.) KvVM–EüM együttes rendelet 1. melléklet 2.1. pontjában foglalt zajterhelési határértékek alkalmazását megelőzően a nemzetközi licenccel rendelkező versenypályák zajkibocsátásának ellenőrzésére az üzemeltető folyamatos mérésre alkalmas monitoring rendszert épít ki és helyez üzembe.
(1d)13 Az (1c) bekezdés szerinti monitoring rendszert az üzemeltető köteles minden nap 8:00–22:00 között folyamatosan üzemeltetni.
(1e)14 Az üzemi és szabadidős zajforrás zajkibocsátásának és a zajkibocsátási határérték teljesülésének ellenőrzésére vonatkozó vizsgálat módszerét a 4. számú melléklet tartalmazza.
(1f)15 Üzemi és szabadidős létesítmények által okozott környezeti zajterhelés számításához, a létesítmények hatásterületének számítással történő lehatárolásához a létesítmény zajkibocsátását a 10. számú mellékletben foglaltak szerint kell meghatározni.
(2)16 Vonalas közlekedési zajforrás kibocsátásának meghatározására
a) a közúti közlekedési zaj számítása vonatkozásában az 5. és 12. mellékletet,
b) a közúti közlekedési zaj mérése vonatkozásában a 6. számú mellékletet,
c) a vasúti közlekedési zaj számítása vonatkozásában a 8. és 13. mellékletet,
d) a vasúti közlekedési zaj mérése vonatkozásában a 9. számú mellékletet
kell alkalmazni.
(2a)17 A nyílt villamospálya szakaszokon közlekedő villamosok zajkibocsátását a (2) bekezdés c) pontja szerint kell számítással meghatározni, de közúti közlekedési zajnak kell tekinteni.
(2b)18
(2c)19 A csendes övezet, fokozottan védett terület és fokozottan zajos terület kijelölése érdekében végzett mérés, számítás eredményeinek zajtérképen való megjelenítése esetén a stratégiai zajtérképek, valamint az intézkedési tervek készítésének részletes szabályairól szóló 25/2004. (XII. 20.) KvVM rendelet 2. §-ának, 7. § (2)–(5) bekezdésének, valamint 8. § (1)–(4) bekezdésének rendelkezéseit kell alkalmazni.
(3) A rezgésterhelési határértékek ellenőrzését az MSZ 18163-2:1998 számú szabvány alapján vagy azzal egyenértékű eredményt adó mérési módszerrel kell elvégezni.
(4) A légiközlekedési zaj mérését az MSZ 13- 183-3:1992 számú, illetve az MSZ 13-183-4:1992 számú szabvány alapján vagy azzal egyenértékű eredményt adó mérési módszerrel kell elvégezni.
(5)20 A (2) bekezdésben meghatározott mérési módszertől eltérő módszer csak abban az esetben alkalmazható, ha az pontosabb eredményt ad és a mérést, illetve számítást végző ezt bizonyítja.
(6)21 A (2) bekezdésben foglalt számítási módszertől abban az esetben lehet eltérni,
a) ha a zajforrás speciális jellege miatt a (2) bekezdés szerinti módszer nem alkalmazható, vagy
b) ha az eltérő módszer szerinti számítás a (2) bekezdés szerinti módszernél pontosabb eredményt ad, és ezt a számítás végzője bizonyítja.
5. §22 (1)23
(2) Ha jogszabály zajtérkép készítését írja elő, a vizsgált területen átmenő
a) közúti közlekedési hálózatot, illetve
b) teljes vasúti hálózatot
közel egyenes vonalakkal az akusztikai középvonalban x-y-z koordinátákkal kell digitalizálni.
(3) A repülőterektől származó zaj zajtérképezését a repülőterek környezetében létesítendő zajgátló védőövezetek kijelölésének szabályairól szóló jogszabályokban foglaltak szerint kell elvégezni.
(4)24 A zajterjedést
a) a vasúti és közúti közlekedési zaj vonatkozásában a 2002/49/EK európai parlamenti és tanácsi irányelv II. mellékletének a tudományos és műszaki fejlődéshez való hozzáigazítás céljából, a közös zajértékelési módszerek tekintetében történő módosításáról szóló, 2020. december 21-i (EU) 2021/1226 felhatalmazáson alapuló bizottsági irányelvben, valamint a 2002/49/EK európai parlamenti és tanácsi irányelv szerinti közös zajértékelési módszerek meghatározásáról szóló, 2015. május 19-i (EU) 2015/996 bizottsági irányelvben (a továbbiakban együtt: 2015/996 bizottsági irányelv) mellékletének 2.5. pontja szerint,
b) az üzemi és szabadidős zajforrások vonatkozásában a 11. számú melléklet szerint
kell számítással meghatározni.
(4a)25
(5) Ha a zajforrás speciális jellege miatt a 11. számú melléklet nem alkalmazható, a számítás más módszerrel is elvégezhető.
5/A. §26 (1)27 Annak a nemzetközi licenccel rendelkező versenypályáknak az üzemeltetője, aki a 4. § (1a) és (1c) bekezdése alapján zajmérés végzésére kötelezett, a tárgyévet követő év március 31-ig – a 7. melléklet szerinti tartalommal – adatot szolgáltat a környezetvédelmi hatóságnak (a továbbiakban: éves adatszolgáltatás).
(2) Ha a környezetvédelmi hatóság a nemzetközi licenccel rendelkező versenypályák zajkibocsátásnak ellenőrzésére hatósági ellenőrzés keretében zajmérést végez, az éves adatszolgáltatás azon adatait, amelyek a környezetvédelmi hatóság mérési jegyzőkönyvében szerepelnek vagy az alapján előállíthatók, a mérési jegyzőkönyv alapján kell meghatározni.
6. § Ez a rendelet 2008. január 1-jén lép hatályba, rendelkezéseit a hatálybalépését követően indult eljárásokban kell alkalmazni.
7. §28
8. §29 E rendeletnek a zajkibocsátási határértékek megállapításának, valamint a zaj- és rezgéskibocsátás ellenőrzésének módjáról szóló 93/2007. (XII. 18.) KvVM rendelet módosításáról szóló 17/2023. (IX. 21.)EM rendelettel (a továbbiakban: R2.) megállapított 4. § (2)–(2c) bekezdését, valamint 5. § (4) és (4a) bekezdését az R2. hatálybalépésekor30 folyamatban lévő ügyekben is alkalmazni kell.
1. számú melléklet a 93/2007. (XII. 18.) KvVM rendelethez31
1. Üzemi és szabadidős zajforrás zajkibocsátási határértéke (LKH) megegyezik a zaj- és rezgésterhelési határértékek megállapításáról szóló jogszabály szerinti zajterhelési határértékkel, ha:
a) közvetlen hatásterülete nem áll fedésben más üzemi vagy szabadidős zajforrás közvetlen hatásterületével,
b) a zajforrás zajkibocsátási határértékét a környezetvédelmi hatóság a 27/2008. (XII. 3.) KvVM–EüM együttes rendelet 1. melléklet 2.1. pontja vagy 2. § (4) bekezdése alapján állapítja meg,
c) a zajforrás közvetlen hatásterülete olyan zajforrással áll fedésben, amelyre a zajkibocsátási határértéket a környezetvédelmi hatóság a 27/2008. (XII. 3.) KvVM–EüM együttes rendelet 1. melléklet 2.1. pontja vagy 2. § (4) bekezdése alapján állapítja meg.
2. Ha több, olyan zajkibocsátási határértékkel még nem rendelkező üzemi vagy szabadidős zajforrás határterülete áll fedésben, amelyek mindegyikére a 27/2008. (XII. 3.) KvVM–EüM együttes rendelet 1. melléklet 1. pontja vagy 2. § (3) bekezdése szerinti zajterhelési határérték vonatkozik, akkor a zajkibocsátási határértékét az alábbi képlet segítéségével kell meghatározni:
LKH = LTH – KN (dB)
ahol
– LKH: az üzemi vagy szabadidős zajforrás zajkibocsátási határértéke,
– LTH: a védendő területen a zaj- és rezgésterhelési határértékek megállapításáról szóló miniszteri rendelet szerinti zajterhelési határérték,
– KN = 10 lgN, de legfeljebb 5 dB,
– N: azon üzemi vagy szabadidős zajforrások száma, beleértve az eljárások tárgyát képező zajforrásokat is, amelyek közvetlen hatásterülete az üzemi vagy szabadidős zajforrás közvetlen hatásterületével fedésben áll.
3. Amennyiben határértékkel rendelkező üzemi vagy szabadidős zajforrás hatásterülete fedésben áll a zajkibocsátási határérték megállapítása iránti kérelem tárgyát képező üzemi vagy szabadidős zajforrással, és az érintett zajforrásoktól származó zajra a 27/2008. (XII. 3.) KvVM–EüM együttes rendelet 1. melléklet 1. pontja vagy 2. § (3) bekezdése szerinti zajterhelési határérték vonatkozik, a kérelmező részére megállapított határérték:
LKH = LTH – 5 (dB)
ahol
– LKH: az üzemi vagy szabadidős zajforrás zajkibocsátási határértéke,
– LTH: a védendő területen a zaj- és rezgésterhelési határértékek megállapításáról szóló miniszteri rendelet szerinti zajterhelési határérték.
4. A 2. és a 3. pont szerinti számítási módszertől abban az esetben kell eltérni, ha:
a) valamennyi érintett üzemi vagy szabadidős zajforrástól származó zajra ugyanolyan mértékű zajterhelési határérték vonatkozik,
b) az érintett üzemeltetők közös kérelmet nyújtanak be a zajkibocsátási határérték megállapítására vagy módosítására, és
c) a b) pont szerinti kérelemben számszerűen megjelölik az egyes üzemeltetők által kért zajkibocsátási határértéket.
A zajkibocsátási határértéket ebben az esetben úgy kell megállapítani, hogy a zajforrásoktól származó együttes zajterhelés ne haladja meg a 2. pont szerint megállapítható zajkibocsátási határértékek összegét.
2. számú melléklet a 93/2007. (XII. 18.) KvVM rendelethez
A …………………………………………………………………., mint I. fokú környezetvédelmi hatóság részére.
A …………………….. sz. rendelet …………………... alapján kérem a zajkibocsátási határérték megállapítását az alább megnevezett üzemi, szabadidős* zajforrásra.
1. A kérelmező (üzemeltető)
neve:
KSH száma:
székhelye:
ügyintéző neve:
telefonszáma:
KÜJ szám:
2. Üzemi, szabadidős zajforrás, amelyre a zajkibocsátási határértéket meg kell állapítani:
megnevezése:
címe:
telephely EOV koordinátái:
KTJ száma:
3. A kérelem indoka*:
a) új üzemi, szabadidős zajforrás létesítése,
b) az üzemelés közben bekövetkezett változások miatt a hatásterület és ezzel együtt a védendő területek, épületek megváltoztak,
c) a településrendezési tervben bekövetkezett változások miatt a védendő területek, épületek köre megváltozott,
d) a településrendezési tervben bekövetkezett változások miatt a védendő területek, épületek zajvédelmi besorolása megváltozott,
e) üzemeltető személyben változás következett be,
f) egyéb:
4. A zajforrás (a tervezett, illetve a meglévő létesítményben folytatott tevékenység, alkalmazott technológia, helyhez kötött vagy mozgó berendezés, üzemi, szabadidős zajforrásnak minősülő tevékenység) rövid leírása, ismertetése:
5. Az üzemi, szabadidős zajforrás működési rendje:
a) Műszak vagy nyitvatartási, működési idő
|
Technológia elnevezése |
Zajforrás jele |
Zajforrás elnevezése |
A zajforrás működési helye |
Zajforrás működési ideje |
|
|---|---|---|---|---|---|
|
nappal |
éjjel |
||||
* A megfelelő válasz aláhúzandó!
b) Szezonális (nyári, téli vagy más) működési rend:
c) Nem rendszeresen működő zajforrásokra vonatkozó adatok (pl. szükségáramforrások)
|
Technológia elnevezése |
Zajforrás jele |
Zajforrás elnevezése |
A zajforrás működési helye |
Zajforrás működési ideje (h/év) |
|---|---|---|---|---|
6. A zajforrás hatásterületén elhelyezkedő ingatlanok felsorolása:
|
Ingatlan helyrajzi száma |
Közterület elnevezése |
Házszám |
A védendő épület Építményjegyzék szerinti besorolása |
|---|---|---|---|
3. számú melléklet a 93/2007. (XII. 18.) KvVM rendelethez
A …………………………………………………………………….., mint I. fokú környezetvédelmi hatóság részére.
A …………………. számú rendelet .……………………………….. alapján bejelentem, hogy az alább megjelölt üzemi, szabadidős zajforrás működési területén – a zajkibocsátási határérték megállapítását követően – a határérték mértéke és teljesülése tekintetében változás következett be.
1. A bejelentő (üzemeltető)
neve:
KSH száma:
székhelye:
ügyintéző neve:
telefonszáma:
KÜJ szám:
2. Az üzemi, szabadidős zajforrás (ahol a változás történt)
megnevezése:
címe:
EOV koordinátája:
KTJ azonosító száma:
3. A zajkibocsátási határértéket megállapító határozat (ha volt II. fokú határozat, úgy annak is) száma és kelte:
4. A változás időpontja:
5. A változás oka**:
a) új zajforrás (üzemrész, gép, hangosító berendezés stb.) üzembe helyezése,
b) új zajos vagy a korábbinál zajosabb tevékenység kezdése,
c) zajforrás cseréje zajosabbra,
d) zajforrás áthelyezése,
e) a telekhatáron, illetve azon belül a zaj terjedését befolyásoló változtatások (épületbontás, -építés, tereprendezés stb.),
f) a műszak vagy működési idő megváltozása,
g) egyéb változás:
6. A változás részletesebb leírása:
A bejelentésben közölt adatok a valóságnak megfelelnek.
Kelt: ………………………….
………………………………………….
cégszerű aláírás
A bejelentéshez mellékelni kell (ha van) a változás előtti és a változást követő zajkibocsátás vizsgálati eredményét és a vizsgálatról készült szakvéleményt.
4. számú melléklet a 93/2007. (XII. 18.) KvVM rendelethez
1. A vizsgálat előkészítése
1.1.32 A méréssel vizsgált terület kijelölése
A méréssel vizsgált terület a zajforrás hatásterületén belül elhelyezkedő terület.
A méréssel vizsgált terület annyi részterületre oszlik, ahányszor megváltozik a zajforrás zajkibocsátási határértéke a 2. § (1) bekezdése szerint, illetve ahány eltérő mértékű zajkibocsátási határérték került a környezetvédelmi hatóság által megállapításra.
1.2.33 A mérési pontok kijelölése a méréssel vizsgált területen
1.2.1. Eseti mérés esetén a mérési pontokat a zajforrás hatásterületén kell kijelölni.
1.2.2. A folyamatos mérésre szolgáló monitoring rendszer mérési pontjait úgy kell elhelyezni, hogy a mérési eredményekből a környezeti zaj és rezgés elleni védelem egyes szabályairól szóló rendelet szerinti kritikus pont megítélési szintje közvetlenül vagy számítással megállapítható legyen.
1.2.3. A mérési pontok számát a vizsgálat céljának megfelelően (üzemi vagy szabadidős zajforrás zajkibocsátásának meghatározása, értékelése, a környezetvédelmi hatóság által megállapított zajkibocsátási határérték teljesülésének ellenőrzése) kell megválasztani, de a vizsgálat céljától függetlenül legalább annyi mérési pontot kell kijelölni, hogy a környezeti zaj és rezgés elleni védelem egyes szabályairól szóló rendelet szerinti kritikus pont minden egyes részterületen kiválasztható legyen.
1.3. Kiegészítő mérési pontok
Ha a vizsgált zajforrás működési körülményeinek esetleges későbbi igazolása szükségessé teszi (például szórakozóhelyek vagy más, az üzemeltető által befolyásolható zajkibocsátású létesítmények zajkibocsátásának vizsgálatakor) kiegészítő mérési pont jelölhető ki a létesítmény meghatározó zajforrása által keltett zaj ellenőrzésére, illetve dokumentálására alkalmas, a vizsgálatot végzők által meghatározott helyen.
1.4. Az üzemi létesítmény működési körülményének megválasztása
A zajforrás vizsgálatát e rendelet 1. § (3) bekezdése szerinti rendszeresen előforduló, legkedvezőtlenebb üzemelési állapotban vagy ilyen üzemelési állapot számításba vételével kell elvégezni.
Ha a létesítmény, illetve annak a zajkibocsátást döntően meghatározó zajforrásai a megítélési időtartamban folyamatosan vagy szabályozott (meghatározott, illetve meghatározható) módon szakaszosan üzemelnek, akkor a mérés elvégezhető az üzemeltető személyes közreműködése, személyes jelenléte nélkül is. Ebben az esetben a mérés során vagy – az üzemeltető távollétében – a mérést követően, az ellenőrző zajmérést végző nyilatkozatot köteles kérni az üzemeltetőtől, amely szerint a mérés ideje alatt nem fordult elő a szokásostól eltérő, rendkívüli üzemelési, működési körülmény. Vitás esetben a mérést az üzemeltető jelenlétében vagy más alkalommal, az üzemeltető előzetes értesítése után meg kell ismételni.
Ha a létesítmény zajkibocsátását döntően meghatározó zajforrások működése a tevékenység igényének megfelelően változik, vagy ha a vizsgálat időtartamában ezek nem működnének, akkor a mérés elvégezhető az üzemeltető közreműködésével úgy, hogy a zajforrásokat egyenként vagy meghatározott összetételben működtetik, és a zajkibocsátásra jellemző mennyiséget az üzemeltető nyilatkozata alapján, az 1. § (3) bekezdése szerinti legkedvezőtlenebb üzemelési állapotra határozzák meg.
Ha az érintett lakosság a működési körülményekről eltérően nyilatkozik, akkor az értékelést ennek megfelelően is el kell végezni, és ezt a jegyzőkönyvben, szakvéleményben rögzíteni kell.
Ha a zajforrás vagy annak egy része épületben helyezkedik el és ezen épület nyílászárói nyithatók, akkor azokat, illetve azok szellőztetésre használt részét a mérés alatt nyitva kell tartani. Vitás esetben a mérést nyitott és csukott nyílászárók mellett is el kell végezni.
2. A mérés lefolytatása34
2.1. Az eseti mérés folyamán (a mérőberendezés kiválasztásánál, a mérési pont és időtartam megválasztásánál, a mérési eredmények meghatározásánál, beleértve a háttérterhelés és a zaj esetleges impulzusos vagy keskenysávú jellege miatt szükséges kiegészítő mérési eredményeket is stb.) az MSZ 18150-1 vonatkozó előírásai, lőterek zajkibocsátásnak vizsgálata esetén az MSZ 15037 szabvány szerint kell eljárni.
2.2. Folyamatos mérés esetén az MSZ 18150-1 szabvány előírásai közül azokat kell alkalmazni, amelyek folyamatos mérésre is értelmezhetők.
2.3. A mérés a 2.1. és 2.2. ponttól eltérő módszer szerint is lefolytatható, ha az az MSZ 18150-1 szabvány vagy lőterek zajvizsgálata esetén az MSZ 15037 szabvány módszerével bizonyítottan egyenértékű eredményt ad.
3. A meghatározandó zajjellemzők35
A vizsgálat eredményeként minden mérési ponton a vizsgált üzemi vagy szabadidős zajforrás zajkibocsátására jellemző LAM megítélési szintet kell meghatározni.
4. A vizsgálat eredményének értékelése36
4.1.37 A vizsgálati eredményeket az üzemi vagy szabadidős zajforrás zajkibocsátási határértékével vagy a 27/2008. (XII. 3.) KvVM–EüM együttes rendelet 2/B. § (1) bekezdése szerinti felmentés alkalmazása esetén a felmentés idejére vonatkozó zajterhelési határértékkel kell összehasonlítani.
4.2. A vizsgálati eredmények értékelését a környezeti zaj és rezgés elleni védelem egyes szabályairól szóló rendelet szerinti kritikus pontra vonatkozó vizsgálati eredmény pontosságától függően, az MSZ 18150-1 szabvány vonatkozó előírásai szerint, vagy azzal egyenértékű eredményt adó módszerrel kell elvégezni.
Megjegyzés:
Több részterület esetén az értékelést a részterület kritikus pontján meghatározott megítélési szint és a részterületre vonatkozó zajkibocsátási határérték összehasonlítása alapján is el kell végezni.
5. melléklet a 93/2007. (XII. 18.) KvVM rendelethez38
6. számú melléklet a 93/2007. (XII. 18.) KvVM rendelethez39
1.40 Fogalommeghatározások
2. A vizsgálati módszer
A közúti közlekedési zaj mérését alkalmas mérőműszerekkel, a kijelölt mérési pontban, a következőképpen kell elvégezni.
a) A 3.4 pont szerinti módok valamelyikével meg kell határozni a közúti forgalom által okozott zaj egyenértékű
A-hangnyomásszintjét.
b) A 3.3 pont szerint a vizsgálat körülményeit gondosan kell megválasztani, az eredményt befolyásoló tényezőket rögzíteni kell.
c) A mérést - ha lehetséges - úgy kell elvégezni, hogy a megítélési idő alatt folyamatosan mérjük a hangnyomásszintet, s az így kapott érték lesz a mért érték.
d) Ha a megítélési időnél rövidebb mérési időt választunk (3.4 pont), akkor a mintavételezéses módszerrel mérhetünk, vagy szakaszos mérést végezhetünk. Mindkét esetben több mérési szakasz eredményéből kell a mért egyenértékű
A-hangnyomásszintet meghatározni a 4. pont szerint.
e) A vizsgálat eredménye a közúti közlekedésből származó zaj megítélési, szintje (LAM,kö), amelyet az 5. pont szerint kell meghatározni.
f) A közúti közlekedési zaj számítási módszere (5. számú melléklet) a forgalmi adatok, az átlagsebesség (mindkét jellemzőt járműkategóriánkénti bontásban), valamint a helyszín pontos megadását feltételezi, ezért a mért, illetve számított adatok összevetése céljából ezeket a mérési jegyzőkönyvben (6. pont) fel kell tüntetni.
3. A vizsgálat előkészítése
3.1 Mérőrendszer
a) A mérőrendszer megválasztása
A mérőrendszert az MSZ ISO 1996-1 4.1. pontja szerint kell megválasztani.
b) A mérőműszerek ellenőrzése
A zajmérőt, illetve az összetett mérőrendszert - a mikrofonnal együtt - legalább a mérés megkezdése előtt és a mérés befejezését követően a gyártó előírásainak megfelelően ellenőrizni kell.
c) A mérőmikrofon elhelyezése
A mérőmikrofont a mérési pontban a legnagyobb hangérzékelés irányába kell állítani.
A mérést végző személy távolsága a mérőmikrofontól legalább 0,5 m legyen.
d) A mérőmikrofon védelme a szél hatása ellen
Szeles időben a mérőmikrofonon a szél ellen védelmet nyújtó eszközt kell alkalmazni, és a műszerkönyv előírásai szerint kell eljárni. 5 m/s szélsebesség felett nem szabad mérni.
e)41 A zajmérés időtartama alatt a mérési helyszínen méréssel kell meghatározni a szélsebességet és a levegő hőmérsékletét (legalább fél óránként leolvasva).
3.2 A mérési pontok kijelölése
3.2.1 A mérési pont helyzetét a mérés céljának megfelelően kell megválasztani, betartva az MSZ ISO 1996-2:1995 5.3. pont előírásait.
3.2.242
3.2.343
3.3 A vizsgálat körülményeinek megválasztása
3.3.1 A mérés alatt a közúton szokásos forgalmi viszonyoknak kell lenniük, útfelbontás, elterelés vagy más időszakos forgalmi zavart eredményező tényező nem lehet.
Megjegyzés:
Ha a feladat célja az, hogy a nem szokásos forgalmi körülményeknek a zajra gyakorolt hatásáról információt nyújtson, akkor a fenti követelménytől el lehet tekinteni.
3.3.2 Üzemi feladatra használt közút esetén a mérést az üzemelések időpontjában kell végezni.
3.3.3 A mérés idején a közút forgalmi körülményeit – ha szükséges – járműkategóriánkénti forgalomszámlálással és átlagsebesség mérésével rögzíteni kell.
3.3.4 A forgalomszámlálás, illetve a sebességmérés módszerét a jegyzőkönyvben rögzíteni kell.
3.3.5.44 A mértékadó forgalom meghatározásához felhasznált éves átlagos napi forgalmi adatokról – amennyiben azok nem az Országos Közúti Adatbankból származnak - be kell szerezni a közút kezelőjének nyilatkozatát.
3.4 A mérési idő megválasztása
A t mérési időt úgy kell megválasztani, hogy a mérési eredményként kapott egyenértékű A-hangnyomásszint a megítélési időre jellemző legyen.
Ehhez a következő módszerek valamelyike használható:
a) Folyamatos mérés, amikor a t mérési idő azonos a T megítélési idővel.
b) Mintavételezéses mérés, amikor a t mérési idő több szakaszból áll: ezek a szakaszok a T megítélési időben egyenletesen követik egymást, egyenlő hosszúságúak és az egyes szakaszokban mért részeredmények a mérési eredmény kialakításában egyenlő súllyal szerepelnek.
A mérési idő (a mérési szakaszok együttes időtartama) nem lehet kevesebb, a szakaszok kezdetének követési ideje pedig nem lehet nagyobb nappal és napközben 4, este és éjjel 2 óránál.
c) Szakaszos mérés napközben és este (6-18 óra és 18-22 óra között), amikor három mérési szakaszt kell választani, egyet-egyet a 6-10 óra, 14-17 óra és a 18-22 óra közötti időszakból. A mérési szakaszoknak ugyanarra a napra kell esniük.
d) Szakaszos mérés éjjel (22-6 óra között), amikor a mérési idő a két legforgalmasabb óra.
Megjegyzés:
A két legforgalmasabb óra rendszerint a 22-23 óra, illetve az 5-6 óra közötti időszak.
e) A c) és d) esetekben egy mérési szakasz időtartama ne legyen rövidebb 30 percnél. Ha a forgalom nem éri el
a 350 jármű/óra sűrűséget, akkor a mérési szakasz időtartama legalább 60 perc legyen.
4. A vizsgálati eljárás
A mérési idő alatt meg kell határozni a mérési ponton a közúttól származó zaj - alapzaj szerint korrigált (ha szükséges) - egyenértékű A-hangnyomásszintjét (LAeq).
4.1. Folyamatos mérés esetén [3.4 a) pont] a mérés eredménye a teljes megítélési idő alatti folyamatos méréssel megállapított - alapzaj szerint korrigált (ha szükséges) - egyenértékű A-hangnyomásszint.
4.2. A mintavételes vagy szakaszos mérés esetén [3.4 b) és c) pontok] a mérés eredményét az egyes szakaszokban mért
- alapzaj szerint korrigált (ha szükséges) - egyenértékű A-hang-nyomásszintből (LAeq,i) a következő összefüggéssel kell meghatározni.

5. A közúti közlekedésből származó zaj LAM,kömegítélési szintjének meghatározása
5.1 Az aktuális forgalmi helyzethez tartozó megítélési szint:
|
LAM,kö= LAeq |
dB |
5.2.45 A közúti közlekedésből származó zaj LAM,kö, megítélési szintjét az alábbi összefüggéssel kell meghatározni:


6. A vizsgálati eredmények közlése
A vizsgálati eredményeket rögzítő mérési jegyzőkönyv legalább a következő adatokat tartalmazza:
a) a vizsgálatot végző szerv megnevezése és címe,
b) a vizsgált közút megnevezése és címe (város, út, utca, tér, km-szelvény, házszám),
c) a vizsgálat időpontja,
d) a vizsgálat célja,
e) hivatkozás az alkalmazott módszerekre,
f) a helyszín részletes leírása vázlatos helyszínrajzzal, megjelölve a közút forgalmi sávjait, az épületek magasságát, a közút épületekhez viszonyított helyzetét, a mérési pontokat, a megítélési pontokat stb.,
g) a forgalom jellemzőinek leírása (átlagsebesség, forgalmi létesítményektől való távolság, forgalomszámlálási adatok, azok eredete), a forgalomszámlálás és az átlagsebességmérés módszere,
h) meteorológiai tényezők (hőmérséklet, szélsebesség, szélirány, relatív nedvesség stb.),
i) a vizsgálatokhoz használt műszerek gyártmánya, típusa, adatai,
j) az egyes mérések elvégzésének módja, időpontja és időtartama,
k) a helyszíni mérési eredmények, illetve mérési adatok, beleértve az alapzaj mérését stb.,
l) a mérési adatok feldolgozása, az elvégzett számítások és közbenső mérési eredmények (korrekciók stb.),
m) a mértékadó A-hangnyomásszintek a mérési pontokban,
n) a mérést befolyásoló esetleges más körülmények,
o) megjegyzések,
p) a vizsgálatot végzők neve,
q) a vizsgálatokért felelős vezető neve, aláírása.
7. melléklet a 93/2007. (XII. 18.) KvVM rendelethez46
1. Az 5/A. § szerinti éves adatszolgáltatást az üzemeltető a zajmérés jellegétől függően a 2. vagy a 3. pont szerinti tartalommal készíti el.
2. Eseti zajméréssel vizsgált létesítmények éves adatszolgáltatásának tartalma
2.1. Az üzemeltető teljes neve, KSH statisztikai számjele és székhelyének címe,
2.2. Az adatszolgáltatásért felelős személy neve, telefonszáma,
2.3. A vizsgált létesítmény elnevezése, pontos címe vagy ennek hiányában egyik helyrajzi száma,
2.4. Az adatszolgáltatás tárgyévében bejelentett zajkibocsátási határérték alóli felmentéssel érintett napok vonatkozásában napi bontásában megadva:
2.4.1.47 az adott napon megtartott rendezvény, vagy esemény megnevezése, jellege, versenynapok esetén annak megjelölésével, hogy a rendezvény a 27/2008. (XII. 3.) KvVM–EüM együttes rendelet szerinti nemzetközi versenynek minősül-e,
2.4.2. a környezeti zaj és rezgés elleni védelem egyes szabályairól szóló rendelet szerinti kritikus pontok helye és a kritikus ponton mért mérési eredmények,
2.4.3. a versenypályán megtartott rendezvény kezdési és befejezési időpontja,
2.4.4. azoknak a napoknak a felsorolása, amelyen a versenypályán környezeti zajforrás nem üzemelt.
3. Folyamatos zajméréssel vizsgált létesítmények éves adatszolgáltatásának tartalma
3.1. az üzemeltető teljes neve, KSH statisztikai számjele és székhelyének címe,
3.2. az adatszolgáltatásért felelős személy neve, telefonszáma,
3.3. a vizsgált létesítmény megnevezése és címe vagy ennek hiányában helyrajzi száma,
3.4. a mérési pontok jele, helye, magassága és jellege táblázatos formában,
3.5. helyszínrajz, amely a vizsgált létesítményt, a zajforrásokat, a mérési pontokat és a zajforrás hatásterületén lévő zajtó védendő objektumokat ábrázolja,
3.6. a méréshez használt műszerek és berendezések típusa, gyártmánya, pontossági osztálya, hitelesítési bizonylatának másolata,
3.7. Napi bontásban megadva:
3.7.1. a helyszíni mérések végeredményei (beleértve a környezetvédelmi bírság megalapozásához szükséges adatokat) mérőpontonként,
3.7.2. a környezeti zaj és rezgés elleni védelem egyes szabályairól szóló rendelet szerinti kritikus pont helye és a kritikus ponton mért mérési eredmények, vagy a kritikus pontra számított mérési eredmények, ha a mérési pont nem a kritikus ponton volt,
3.7.3. az adott napon megtartott rendezvény, vagy esemény megnevezése, jellege
3.7.4. a környezeti zajforrások napi működési ideje,
3.7.5.48 a versenynapokon tartott rendezvények esetén annak megjelölése, hogy a rendezvény a 27/2008. (XII. 3.) KvVM–EüM együttes rendelet szerinti nemzetközi versenynek minősül-e,
3.7.6.49 a felmentéssel nem érintett napokon annak megjelölése, hogy az üzemeltető az adott nap zajkibocsátásának megítélést mely zajkibocsátási határérték alapján kéri,
3.7.7.50 a jogszerűen igénybe vett felmentési napok dátuma.
3.8. Összefoglaló, amely tartalmazza:
3.8.1. az adott naptári évben túllépéssel érintett napok felsorolását és az egyes napokon a túllépés mértékét,
3.8.2. azoknak a napoknak a felsorolását, amelyen a versenypályán üzemelő környezeti zajforrások működési ideje meghaladta a 10 órát,
3.8.3. azoknak a napoknak a felsorolását, amelyen a versenypályán környezeti zajforrás nem üzemelt.
8. melléklet a 93/2007. (XII. 18.) KvVM rendelethez51
9. számú melléklet a 93/2007. (XII. 18.) KvVM rendelethez52
1. Fogalommeghatározások
Az 5. számú és a 8. számú melléklet szerint, a következő kiegészítésekkel:
1.1 A vasúti közlekedésből származó zaj megítélési szintje, LAM,vadB
E melléklet szerint mért, a vasúti közlekedésből származó zaj egyenértékű A-hang- nyomásszintjéből meghatározott érték. Számítása az 5. pont szerint, a mértékadó forgalmat alapul véve történik.
1.2 Megfigyelési idő, tM, s
Az az időtartam, amely alatt a vasúti zaj jellemzéséhez szükséges adatokat gyűjtjük (méréssel, illetve forgalomszámlálással).
A megfigyelési idő az első figyelembe vett vonat elhaladásával kezdődik, s az utolsó elhaladásával végződik.
2. A vizsgálati módszer
2.1 A vasúti közlekedési zaj mérését alkalmas mérőműszerekkel (3.1 pont), a kiválasztott mérési pontban (3.2 pont), a következőképpen kell elvégezni.
A megfigyelési idő alatt az egyes mérési pontokon és a vonatkoztatási ponton (3.2 pont) egyidejűleg meg kell mérni a vonatelhaladások zajhatását (a zaj eseményszintet) a 4.1 pont szerint. Emellett a 3.3.2 pont szerinti adatokat is rögzíteni kell.
A vizsgálat eredménye a vasúti közlekedésből származó zaj megítélési szintje (LAM,va), amelyet a mért zaj eseményszintek, a mértékadó forgalmak és a megítélési idők felhasználásával kell kiszámítani.
3. A vizsgálat előkészítése
3.1 Mérőrendszer
a) A mérőrendszer megválasztása
A mérőrendszert az MSZ ISO 1996-1 4.1. pontja szerint kell megválasztani.
b) A mérőműszerek ellenőrzése
A zajmérőt, illetve az összetett mérőrendszert - a mikrofonnal együtt - legalább a mérés megkezdése előtt és a mérés befejezését követően a gyártó előírásainak megfelelően ellenőrizni kell.
c) A mérőmikrofon elhelyezése
A mérőmikrofont a mérési pontban a legnagyobb hangérzékelés irányába kell állítani.
A mérést végző személy távolsága a mérőmikrofontól legalább 0,5 m legyen.
d) A mérőmikrofon védelme a szél hatása ellen
Szeles időben a mérőmikrofonon a szél ellen védelmet nyújtó eszközt kell alkalmazni, és a műszerkönyv előírásai szerint kell eljárni. 5 m/s szélsebesség felett nem szabad mérni.
3.2 A mérési pontok kijelölése
3.2.1 A mérési pont helyzetét a mérés céljának megfelelően kell megválasztani, betartva az MSZ ISO 1996-2:1995 5.3. pont előírásait.
3.2.2 A mérési pontok választásakor vonatkoztatási pontot lehet kijelölni. A vonatkoztatási pontot a ténylegesen haladásra való szélső forgalmi vágány középvonalától, dref= 25 m távolságban és 3,2-4,2 m magasságban kell kijelölni úgy, hogy a vasút és a vonatkoztatási pont között a hangterjedést gátló akadály ne legyen.
3.3 A vizsgálat körülményeinek megválasztása
3.3.1 A vizsgálat alatt a vasúti szakaszon szokásos forgalmi viszonyoknak kell lenniük, ideiglenes lassújel, bármely vágányon vágányzár vagy más időszakos forgalmi zavart eredményező tényező nem lehet.
Ha a feladat célja, hogy a nem szokásos forgalmi körülményeknek a zajra gyakorolt hatásáról információt nyújtson, akkor az e pontban foglalt követelményt nem kell alkalmazni,
3.3.2 A mérés idején minden egyes elhaladó szerelvényről a következő adatokat kell feljegyezni:
a) típusa
b) az elhaladás időpontja,
c) melyik vágányon haladt,
d) a mért alapzaj.
3.3.3 A vizsgálatot porhótakaró esetén vagy 6 m/s-nál nagyobb erősségű szélben nem szabad elvégezni.
3.4. A megfigyelési idő megválasztása
A megfigyelési időt úgy kell megválasztani, hogy a mérési eredményként kapott egyenértékű A-hangnyomásszint a megítélési időre jellemző legyen.
A megfigyelési idő megválasztásánál figyelembe kell venni az 5.1 pontban leírt feltételeket.
4. A vizsgálati eljárás
4.1 A zajeseményszint meghatározása
A megfigyelési idő alatt a mérési ponton és a vonatkoztatási ponton egyidejűleg meg kell határozni az elhaladó szerelvények zajeseményszintjét, a 4.2 pont figyelembevételével.
4.1.1 Egyszerre csak egy szerelvény zajeseményszintjét szabad meghatározni. Ha két vagy több szerelvény halad el a mérési pont előtt úgy, hogy azok időfüggvényei (részben vagy teljesen) összemosódnak, az eredmények nem értékelhetők.
4.1.2 Ha az alkalmazott műszer nem alkalmas a zajeseményszint közvetlen meghatározására, akkor a zajesemény egyenértékű A-hangnyomásszintjét (LAeq) és a mérési időt (t) kell rögzíteni.
Ekkor a zajeseményszintet a következő összefüggéssel kell kiszámítani:
LAX = LAeq + 10 lg t
4.2 Az alapzaj meghatározása
Ha a mérési idő alatt más zajforrás is működik, és ez a mérés eredményét befolyásolja, akkor az alapzaj szintjét meg kell határozni, és alapzaj-korrekciót kell alkalmazni.
Ez két módon történhet:
4.2.1 Ha az alapzaj egyenletes, meg kell mérni a szerelvény elhaladása előtt vagy után az alapzaj egyenértékű
A-hangnyomásszintjét (LAa.eq) ugyanolyan körülmények között, mint amelyek az áthaladás közben voltak.
Az alapzajjal terhelt zajesemény mérési időre (t) vonatkoztatott egyenértékű A-hangnyomásszintjét a következő módon kell meghatározni:
LAeq = LAX-10 lg t
Ezután az alapzaj szerinti korrekciót (LAeq és LAaeq ismeretében) az MSZ 18150-1 előírásainak megfelelően kell elvégezni.
4.2.2 Ha az alapzaj egy zavaró zajesemény, akkor annak zaj eseményszintjét (LAXa) kell megmérni a 4.1 pont szerinti módon. Az ehhez tartozó egyenértékű A-hangnyomásszintet (LAaeq) az alapzajesemény mérési idejét (ta) felhasználva kell meghatározni:
LAaeq = LAXa - 10 lg ta
Az alapzajjal terhelt zajesemény mérési időre vonatkoztatott egyenértékű A-hang-nyomásszintjének meghatározását és az alapzaj-korrekció további lépéseit a 4.2.1 pont szerint kell elvégezni.
5. A vasúti közlekedésből származó zaj egyenértékű A-hangnyomásszintjének meghatározása
5.1 A vasúti forgalomtól származó, az aktuális helyzetet jellemző egyenértékű A-hang-nyomásszint meghatározása az egyes mérőpontokon, az adott vonatkoztatási időre.
5.1.1 Az adott mérési ponton meg kell határozni a vonatkoztatási időhöz tartozó napszak menetrend szerinti forgalmára vonatkozóan minden egyes vonatelhaladás zajeseményszintjét
(LAX,i).
5.1.2 Az i-edik elhaladás egyenértékű A-hangnyomásszintjét (LAeq, i) a következő módon kell kiszámítani:
LAeq,i= LAx,i- 10 lg ti
ahol
LAx,iaz i-edik elhaladás zajeseményszintje, dB,
ti = 3600 s.
5.1.3 A vasúti forgalomból származó, az aktuális helyzethez tartozó zajegyenértékű A-hangnyomásszintjét a következő összefüggéssel kell kiszámítani:

5.2 A vasúti forgalomtól származó zaj megítélési szintje az egyes mérési pontokon, az adott vonatkoztatási időre.
Az adott mérési ponton és egyidejűleg a vonatkoztatási ponton is meg kell határozni az adott napszakhoz tartozó vonatkoztatási időre a menetrend szerinti forgalom vonatfajtánkénti összetételét reprezentáló vonatelhaladások zajeseményszintjét.
5.2.1 Az i-edik elhaladáshoz tartozó korrekciót a következő összefüggéssel kell kiszámítani:
Ki = (LAX,i) mérési pont - (LAX,i) vonatkoztatási pont
ahol
|
(LAx,i) mérési pont |
az i-edik elhaladás zajeseményszintje a mérési ponton, dB, |
|
(LAx,i) vonatkoztatási pont |
az i-edik elhaladás zajeseményszintje a vonatkoztatási ponton, dB. |
5.2.2 A korrekció átlagos értéke:
K = (∑Ki)/n
ahol
n az összesen megmért elhaladások száma.
5.2.353 A vasúti forgalomból származó zaj megítélési szintjét a vonatkoztatási ponton a következő összefüggéssel kell kiszámítani:

a) LAM,va,REF a vonatkoztatási ponton a mértékadó forgalmi adatokból, a 8. számú melléklet és a 2015/996 bizottsági irányelv mellékletének 2.5. pontja szerint számított, a megítélési időre vonatkoztatott egyenértékű A-hangnyomásszint (dB(A))
6. A vizsgálati eredmények közlése
A vizsgálati eredményeket rögzítő mérési jegyzőkönyv legalább a következő adatokat tartalmazza:
a) a vizsgálatot végző szerv megnevezése és címe,
b) a vizsgált vasúti szelvény megnevezése, vonalszáma, km-szelvény,
c) a vizsgálat időpontja,
d) a vizsgálat célja,
e) hivatkozás az alkalmazott módszerekre,
f) a helyszín részletes leírása vázlatos helyszínrajzzal, megjelölve a vasúti vágányokat, az épületek magasságát, a vasút épületekhez viszonyított helyzetét, a mérési pontokat, a megítélési pontokat stb.,
g) a mérés idején tapasztalt forgalom jellemzőinek leírása (átlagsebesség, forgalmi létesítményektől való távolság, forgalomszámlálási adatok, azok eredete), a forgalomszámlálás, a szerelvényhossz- és az átlagsebesség mérés módszere,
h) meteorológiai tényezők (hőmérséklet, szélsebesség, szélirány, relatív nedvesség stb.),
i) a vizsgálatokhoz alkalmazott műszerek gyártmánya, típusa, adatai,
j) az egyes mérések elvégzésének módja, időpontja és időtartama,
k) a helyszíni mérési eredmények, illetve mérési adatok, beleértve az alapzaj mérését stb.,
l)54 a vizsgált szakasz LAM,va,REF hangnyomásszintjének meghatározásához felhasznált bemenő adatok bemutatása,
m) a mérési adatok feldolgozása, az elvégzett számítások és közbenső mérési eredmények (korrekciók stb.),
n) a zajterhelés vizsgálatának eredményei, megítélési szint a megítélési pontokban,
o) a mérést befolyásoló esetleges más körülmények,
p) megjegyzések,
q) a vizsgálatot végzők neve,
r) a vizsgálatokért felelős vezető neve, aláírása.
10. számú melléklet a 93/2007. (XII. 18.) KvVM rendelethez55
1. Ha ismert az üzemi létesítmény valamennyi jellemző zajforrásának egyedi zajkibocsátása (hangteljesítményszintje, a szükséges egyéb adatokkal, pl. az irányítottsággal együtt), akkor az üzemi létesítmény zajkibocsátása a 11. számú melléklet szerint, az egyedi zajforrások zajkibocsátása alapján vehető figyelembe, a következő feltételekkel:
A zajforrások (gépek, berendezések) zajkibocsátásának megadása akkor fogadható el, ha a zajkibocsátás-közlés egyértelműen tartalmazza, hogy a hangteljesítményszint meghatározását
a) az MSZ EN ISO 3744 (műszaki pontosságú módszer) vagy
b) az MSZ EN ISO 3746 (tájékoztató pontosságú módszer)
szerint, vagy az ezekkel azonos eredményt adó, az MSZ EN ISO 3740-es sorozat valamely más tagja, illetve az ezekre alapozott, az adott berendezés, gép, gépcsalád zajvizsgálati előírása szerint végezték.
2. Ha az 1. pont szerinti zajkibocsátási adatokat nem ismerik, de annak műszeres méréssel való meghatározásának szabványos feltételei megvannak, akkor az egyes zajforrások hangteljesítményszintje hangnyomásméréssel meghatározható.
A mérést az MSZ EN ISO 3744 vagy az MSZ EN ISO 3746, vagy az ezekre alapozott, a berendezés, gép, gépcsalád zajvizsgálati előírása szerinti, vagy az előbbiekkel azonos eredményt adó módszer szerint kell elvégezni.
Ha a zajforrás zajkibocsátása valamely irányban irányított, akkor meg kell határozni az MSZ EN ISO 3744 szerinti DI irányítottsági tényezőt.
Ha a forrás hangteljesítményszintjét nem lehet minden tekintetben a fenti műszaki előírások szerinti méréssel meghatározni, akkor a forrás jellemzésére közelítő megoldásként alkalmazható a 11. számú melléklet 3.1.2 és a 3.4.2 pontok szerinti módszer.
3. Egy üzemi létesítmény környezeti zajkibocsátása (az üzemi létesítmény területére vonatkoztatott hangteljesítményszint)
az MSZ ISO 8297 szerinti méréssel meghatározható.
4. Ha az 1., 2., 3. pontok szerinti módok egyike sem választható, illetve nincs lehetőség az ezeknek megfelelő műszeres vizsgálatra, akkor az üzem környezeti zajkibocsátása a következő módszerrel határozható meg.
Az üzemi telephely környezetében, minden irányban felvett, legalább egy mérési ponton mérni kell az üzemtől származó zajegyenértékű A-hangnyomásszintjét. A mérési eredményből a mérési pont mögötti visszaverő felület hatását le kell vonni.
Az így meghatározott mérési eredmények az üzem zajkibocsátásából származó irányhangnyomásszintek.
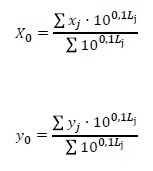
Ezekből a következő összefüggésekkel meghatározható az üzemi telephely ún. akusztikai középpontja, és az ebbe koncentrált hangteljesítmény.
Ha m számú mérési pontban, amelyek körülveszik az üzemi zajforrás területét, megmérjük az üzemtől származó zaj Lj eredő
A-hangnyomásszintjeit, akkor a mérési pontok xj, yj koordinátája és az ott mért hangnyomásszint ismeretében a következő mennyiségek számíthatóak:
a) az üzem akusztikai középpontjának koordinátái:

amiből a j-edik pont távolsága az akusztikai középponttól:
rj2 = (x0 - xj)2 + (y0 + yj)2
b) az akusztikai középpontba koncentrált eredő hangteljesítményszint:

ahol m a mérési pontok száma,
c) az irányítottsági tényező a j-edik pont irányában:
DIj= Lj-Lw0 + 10 lg rj2
5. Bizonyos esetekben (különösen, ha az üzem környezetében nincs védendő létesítmény, illetve az üzem zajkibocsátása egyértelműen, biztosan nem okoz zavaró környezeti zajterhelést) megengedhető, hogy konkrét mérési adat vagy az üzem zajkibocsátásának pontos meghatározása nélkül végezzék el az üzem zajkibocsátásának becslését.
Ez a mód akkor választható, ha az üzem zajkibocsátását más, hasonló tevékenységet folytató üzemek nagyszámú mérési eredménye alapján modellezni lehet, illetve rendelkezésre állnak ilyen modellszámítások.
Ebben az esetben az üzem zajkibocsátására a megfelelő modell alapján adhatnak becslést.
Ebben az esetben különösen, de az 1-4. pontok szerinti módok bármelyike szerinti zajkibocsátás-becsléseket célszerű megfelelően kiválasztott vonatkoztatási mérési pontokon végzett mérések eredményeivel ellenőrizni, és szükség szerint a zajkibocsátási értéket megfelelő korrekcióval módosítani.
Ha a zajkibocsátás becslésére alkalmazott mérési adatok épület homlokzata előtt 2 m-re végzett mérésből származnak, akkor a homlokzat hangvisszaverő hatásának kiküszöbölésére a mért adatokból 3 dB-t le kell vonni.
11. számú melléklet a 93/2007. (XII. 18.) KvVM rendelethez56
az 500 Hz-es frekvenciasáv értékeivel kell figyelembe venni.
|
1. táblázat |
||||
|
A |
B |
C |
D |
|
|
1. |
Jelölés |
Jelentés |
Pont |
Mértékegység |
|
2. |
aL |
a levegő által okozott terjedési csillapítás |
6.2. |
dB/km |
|
3. |
aL,Okt |
a levegő frekvenciafüggő (oktávsávos) terjedési csillapítása |
6.2. |
dB/km |
|
4. |
an |
a növényzet fajlagos terjedési csillapítása |
6.4.1. |
dB/m |
|
5. |
at |
a talaj hangelnyelési jellemzője a talajhatás számításához |
6.3.2 |
- |
|
6. |
B |
a beépítés sűrűsége |
6.4.2. |
- |
|
7. |
c |
a hang terjedési sebessége a levegőben |
7.1. |
m/s |
|
8. |
dA |
az észlelési pont távolsága a hangvisszaverő felülettől vagy az árnyékoló akadály élétől |
5.2., |
m |
|
9. |
dQ |
a zajforrás távolsága a hangvisszaverő felülettől vagy az árnyékoló akadály élétől |
5.2., |
m |
|
10. |
e |
az akadály vastagsága |
6.5.1. |
m |
|
11. |
f |
frekvencia |
6.4.1. |
Hz |
|
12. |
F |
a visszaverő felület |
7.1. |
m2 |
|
13. |
fu |
az alsó határfrekvencia, amit a visszaverődés szempontjából még figyelembe kell venni |
7.1. |
Hz |
|
14. |
h |
épületek homlokzatának közepes magassága |
7.2. |
m |
|
15. |
hA |
az észlelési pont föld feletti magassága |
5.2. |
m |
|
16. |
heff |
az árnyékoló szerkezet hatásos magassága |
6.5.1. |
m |
|
17. |
hm |
a terjedési út közepes föld feletti magassága |
6.3. |
m |
|
18. |
hQ |
a zajforrás föld feletti magassága |
5.2. |
m |
|
19. |
hr |
relatív légnedvesség |
6.2.2. |
% |
|
20. |
hx |
a görbült hangút magassága a forrásészlelő egyenes fölött |
6.4.1. |
m |
|
21. |
hx,G |
a görbült hangút magassága a föld fölött |
6.4.1. |
m |
|
22. |
KŮ |
a sugárzási térszög miatti korrekció |
5.2. |
dB |
|
23. |
K0 |
a szabad hangterjedést befolyásoló tényezők eredő csillapítása az akadály nélkül |
6.5.1. |
dB |
|
24. |
K1 |
a szabad hangterjedést befolyásoló tényezők eredő csillapítása az akadály jelenlétében |
6.5.1. |
dB |
|
25. |
KB |
lakott terület beépítésének csillapító hatását kifejező korrekció |
6.4.2. |
dB |
|
26. |
Kd |
a távolság miatt fellépő csillapodás hatását kifejező korrekció |
6.1. |
dB |
|
27. |
Ke |
zajárnyékoló létesítmény beiktatási vesztesége |
6.5. |
dB |
|
28. |
Kf |
formakorrekció |
3.4.2. |
dB |
|
29. |
Kf,f |
formakorrekció felületforrásra |
3.4.2. |
dB |
|
30. |
Kf,1 |
formakorrekció vonalforrásra |
3.4.2. |
dB |
|
31. |
Kh |
a hosszúidejű szint meghatározására szolgáló korrekció |
8.3. |
dB |
|
32. |
KIr |
a zajforrás iránytényezője |
5.1. |
dB |
|
33. |
KL |
a levegő elnyelő hatását kifejező korrekció |
6.2. |
dB |
|
34. |
Km |
a talaj- és meteorológiai viszonyok csillapító hatását kifejező korrekció |
6.3. |
dB |
|
35. |
Km,A |
a terhelési pont közelében érvényesülő talajhatás mértéke |
6.3.2. |
dB |
|
36. |
Km,k |
a hangforrás és a terhelési pont közötti középtartomány talajhatásának mértéke |
6.3.2. |
dB |
|
37. |
Km,Q |
a hangforrás közelében érvényesülő talajhatás mértéke |
6.3.2. |
dB |
|
38. |
Kn |
a növényzet csillapító hatását kifejező korrekció |
6.4.1. |
dB |
|
39. |
Kr,több |
a többszörös visszaverődés hatását kifejező korrekció |
7.2. |
dB |
|
40. |
Kw |
meteorológiai tényező az árnyékolási tényező számításához |
6.5.1. |
dB |
|
41. |
Kz |
a hangútkülönbség függvényeként adódó árnyékolási tényező |
6.5.1. |
dB |
|
42. |
Ld |
a hangforrás által okozott hangnyomásszint d távolságban |
3.1.2. |
dB |
|
43. |
lmax |
a zajforrás (zajforrás-csoport) legnagyobb kiterjedése |
3.3. |
m |
|
44. |
lmin |
a visszaverő felület legkisebb mérete |
7.1. |
m |
|
45. |
Lt |
a terhelési (észlelési) pontban fellépő hangnyomásszint |
4. |
dB |
|
46. |
Lw |
hangteljesítményszint |
4. |
dB |
|
47. |
Lw,okt |
frekvenciafüggő (oktávsávos) hangteljesítményszint |
7.1. |
dB |
|
48. |
Lw,okt,tük |
a tükörforrás frekvenciafüggő (oktávsávos) hangteljesítményszintje |
7.1. |
dB |
|
49. |
p |
az épülethomlokzatok százalékos aránya a beépítési vonal mentén |
6.4.2. |
% |
|
50. |
ps |
a levegő statikus nyomása |
6.2.2. |
kPa |
|
51. |
ps0 |
referencia-légnyomás |
6.2.2. |
101,325 kPa |
|
52. |
R |
a meteorológiai viszonyok miatt görbült hangút görbületi sugara |
6.4.1. |
m |
|
53. |
s |
az észlelési pont és a zajforrás távolságának vetülete a föld (közepes) síkján |
6.4.1. |
m |
|
54. |
s0 |
vonatkoztatási távolság = 1 m |
6.1., 8. |
m |
|
55. |
sA |
a talajhatás számításakor a terhelési pont környezetében lévő zóna mérete |
6.3.2. |
m |
|
56. |
sB |
a hangút hossza a beépített területen keresztül |
6.4.2. |
m |
|
57. |
s„ |
a hangút hossza a növényzeten keresztül |
6.4.1. |
m |
|
58. |
sq |
a talajhatás számításakor a zajforrás környezetében lévő zóna mérete |
6.3.2. |
m |
|
59. |
st |
a terhelési (észlelési) pont és a zajforrás távolsága |
6.1. |
m |
|
60. |
sw |
2000 m (a meteorológiai tényező számításához) |
6.5.1. |
m |
|
61. |
T |
a környezet hőmérséklete |
6.2.2. |
°K |
|
62. |
T0 |
referencia-hőmérséklet |
6.2.2. |
293,15 °K |
|
63. |
w |
az épületfrontok közepes távolsága |
7.2. |
m |
|
64. |
z |
hangútkülönbség az árnyékoló szerkezeten elhajló és a közvetlenül terjedő hang útjának különbsége |
6.5.1. |
m |
|
65. |
αokt |
a hangvisszaverő felület frekvenciafüggő (oktávsávos) hangelnyelési tényezője |
7.1. |
- |
|
66. |
αt |
irányszög |
3.4.2. |
fok |
|
67. |
β |
a beesési szög hangvisszaverődésnél (a beeső hangsugárnak a felület normálisával bezárt szöge) |
7.1. |
fok |
|
68. |
θ |
a beesési szög hangvisszaverődésnél (a beeső hangsugárnak a fal normálisával bezárt szöge) |
5.2. |
fok |
|
69. |
γ |
a rálátási szög függőleges síkba eső vetülete |
3.4.2. |
fok |
|
70. |
λ |
a hang hullámhossza |
6.5.1. |
m |
|
71. |
Ω |
a sugárzás térszöge |
5.2. |
srad |
|
Lt = (LW + KIr+ KΩ) - (Kd + ∑ K) |
(1) |
|
LW = Ld+10 lg[4 π (d + lmax/2)2] |
(1/a) |
|
LW = Lt-KΩ-Kf+Kd |
(1/b) |









a (2) egyenlet szerint, oktáv-, illetve tercsávokban kell számítani.
|
Lt = LW+ KIr + KΩ-Kd-KL-Km-Kn-KB-Ke |
(2) |
Ez a jellemző általában frekvenciafüggő mennyiség.

(az A-hangnyomásszinttel való számításhoz alkalmazható)
|
KΩ= 10 lg 4π/Ω db |
(3) |
|
1. táblázat: Az Ω térszög és a KŮ irányítási tényező értékei visszaverő felületek közvetlen közelében lévő különféle helyzetű hangforrások esetén |
|||
|
A |
B |
C |
|
|
1. |
A hangforrás helyzete |
Ω (sr) |
KΩ (dB) |
|
2. |
a térben bárhol, magasan a talajszint fölött |
4 π |
0 |
|
3. |
egy erősen tükröző felületen, felett vagy előtt (tető, padló) |
2 π |
+3 |
|
4. |
két egymásra merőleges felület előtt (padló feletti falfelület) |
π |
+6 |
|
5. |
három egymásra merőleges sík előtt (sarokban) |
π/2 |
+9 |


|
Kd = 10 lg (4π st2/s02) = 20 lg (st/ s0) + 11 dB |
(4) |
|
KL = aL st |
(7) |
|
2. táblázat: A levegő által okozott aL,okt terjedési csillapítás (dB/km) adott hőmérséklet (T) és relatív légnedvesség (hr) függvényében |
|||||||||||
|
A |
B |
C |
D |
E |
F |
G |
H |
I |
J |
||
|
1. |
T |
hr |
Névleges oktávsáv-középfrekvencia (Hz) |
||||||||
|
2. |
(°C) |
(%) |
63 |
125 |
250 |
500 |
1000 |
2000 |
4000 |
8000 |
|
|
3. |
10 |
70 |
0.12 |
0.41 |
1.04 |
1.93 |
3.66 |
9.66 |
32.8 |
117 |
|
|
4. |
20 |
70 |
0.09 |
0.34 |
1.13 |
2.80 |
4.98 |
9.02 |
22.9 |
76.6 |
|
|
5. |
30 |
70 |
0.07 |
0.26 |
0.96 |
3.14 |
7.41 |
12.7 |
23.1 |
59.3 |
|
|
6. |
15 |
20 |
0.27 |
0.65 |
1.22 |
2.70 |
8.17 |
28.2 |
88.8 |
202 |
|
|
7. |
15 |
50 |
0.14 |
0.48 |
1.22 |
2.24 |
4.16 |
10.8 |
36.2 |
129 |
|
|
8. |
15 |
80 |
0.09 |
0.34 |
1.07 |
2.40 |
4.15 |
8.31 |
23.7 |
82.8 |
|
|
|
(8/3) |


|
Km = - (Km,Q+ Km,A+ Km,k) dB |
(9/1) |
|
3. táblázat: A frekvenciafüggő talajhatás |
||||
|
A |
B |
C |
D |
|
|
1. |
Oktávsáv |
A talajhatás függvénye |
||
|
2. |
a forrás közelében |
a terhelés közelében |
a köztes tartományban |
|
|
3. |
63 |
1,5 |
1,5 |
3t |
|
4. |
125 |
l,5-át,Q a(hQ) |
l,5- át,A a(hA) |
3t (1-át,k) |
|
5. |
250 |
l,5-át,Q b(hQ) |
l,5- át,A b(hA) |
3t (1-át,k) |
|
6. |
500 |
l,5-át,Q c(hQ) |
l,5- át,A c(hA) |
3t (1-át,k) |
|
7. |
1000 |
l,5-át,Q d(hQ) |
l,5- át,A d(hA) |
3t (1-át,k) |
|
8. |
2000 |
1,5 (1-át,Q) |
1,5 (1-át,A) |
3t (1-át,k) |
|
9. |
4000 |
1,5 (1-át,Q) |
1,5 (1-át,A) |
3t (1-át,k) |
|
10. |
8000 |
1,5 (1-át,Q) |
1,5 (1-át,A) |
3t (1-át,k) |
(αt = 1). Az érték megválasztása egyértelmű, ha a talaj az SQ és SA sugáron belül, illetve a köztes tartományban olyan egyenletes, hogy egy értékű adattal meghatározható. Változékony talaj vagy egymást fedő talajrétegek esetében ajánlatos megfelelő középértékek használata. A választáshoz azonban megfelelő tapasztalat szükséges.
|
Kn = ansn |
(10) |
ahol
|
an = 0.006f1/3dB/m |
(11) |
|
|
(11/b) |
|
sn = x2-x1 |
(11/c) |

|
KB = KB1 + KB2 |
(12) |
|
KB1 = 0,1 BsB |
(13) |

a (15/1) képlet szerint kell meghatározni.
|
Ke = -10 log (∑ 10-0,1 Ke,i) dB |
(15/1) |


|
Ke = Kz- K0 + K1 > 0 dB |
(15/2) |
|
K0 = K1 |
(15/3a) |
|
Ke = Kz |
(15/3b) |



|
LW,okt,tükör= LW,okt+ 10 lg(1-αokt) dB |
(16) |

(18)8. A hosszútávú középérték kiszámítása, a meteorológiai körülmények figyelembevétele
|
A |
B |
C |
|
|
1. |
Napszak |
Helyi idő |
C0 |
|
2. |
napközben |
6:00-18:00 |
3,0 dB |
|
3. |
este |
18:00-22:00 |
1,5 dB |
|
4. |
éjjel |
22:00- 6:00 |
0,0 dB |
|
K1=10 lg (β/180) dB |
(20) |

12. melléklet a 93/2007. (XII. 18.) KvVM rendelethez63
13. melléklet a 93/2007. (XII. 18.) KvVM rendelethez64
Az 1. § (1) bekezdése a 33/2019. (VII. 9.) AM rendelet 1. §-ával megállapított szöveg.
Az 1. § (1a) bekezdését a 33/2019. (VII. 9.) AM rendelet 1. §-a iktatta be.
Az 1. § (4) bekezdését a 70/2017. (XII. 29.) FM rendelet 8. §-a hatályon kívül helyezte.
A 2. § (3) bekezdését a 91/2015. (XII. 23.) FM rendelet 2. §-a iktatta be.
A 2. § (3) bekezdés a) pontja a 17/2023. (IX. 21.) EM rendelet 5. §-a szerint módosított szöveg.
A 3. § a 91/2015. (XII. 23.) FM rendelet 3. §-ával megállapított szöveg.
A 3. § (2) bekezdés e) pontja a 8/2019. (III. 26.) AM rendelet 1. §-ával megállapított szöveg.
A 3. § (2) bekezdés f) pontját a 8/2019. (III. 26.) AM rendelet 1. §-a iktatta be.
A 4. § (1) bekezdése a 91/2015. (XII. 23.) FM rendelet 4. § (1) bekezdésével megállapított szöveg.
A 4. § (1a) bekezdését a 91/2015. (XII. 23.) FM rendelet 4. § (2) bekezdése iktatta be, szövege a 8/2019. (III. 26.) AM rendelet 3. §-a szerint módosított szöveg.
A 4. § (1b) bekezdését a 91/2015. (XII. 23.) FM rendelet 4. § (2) bekezdése iktatta be.
A 4. § (1c) bekezdését a 91/2015. (XII. 23.) FM rendelet 4. § (2) bekezdése iktatta be.
A 4. § (1d) bekezdését a 91/2015. (XII. 23.) FM rendelet 4. § (2) bekezdése iktatta be.
A 4. § (1e) bekezdését a 91/2015. (XII. 23.) FM rendelet 4. § (2) bekezdése iktatta be.
A 4. § (1f) bekezdését a 33/2019. (VII. 9.) AM rendelet 2. § (1) bekezdése iktatta be.
A 4. § (2) bekezdése a 13/2025. (VI. 2.) EM rendelet 5. § (1) bekezdésével megállapított szöveg.
A 4. § (2a) bekezdését a 33/2019. (VII. 9.) AM rendelet 2. § (2) bekezdése iktatta be, szövege a 13/2025. (VI. 2.) EM rendelet 5. § (1) bekezdésével megállapított szöveg.
A 4. § (2b) bekezdését a 17/2023. (IX. 21.) EM rendelet 2. §-a iktatta be, a 13/2025. (VI. 2.) EM rendelet 8. § a) pontja hatályon kívül helyezte.
A 4. § (2c) bekezdését a 17/2023. (IX. 21.) EM rendelet 2. §-a iktatta be.
A 4. § (5) bekezdése a 91/2015. (XII. 23.) FM rendelet 8. § (1) bekezdése, a 13/2025. (VI. 2.) EM rendelet 8. § b) pontja szerint módosított szöveg.
A 4. § (6) bekezdését a 13/2025. (VI. 2.) EM rendelet 5. § (2) bekezdése iktatta be.
Az 5. §-t a 70/2017. (XII. 29.) FM rendelet 8. §-a hatályon kvül helyezte, újonnan a 33/2019. (VII. 9.) AM rendelet 3. §-a iktatta be.
Az 5. § (1) bekezdését a 13/2025. (VI. 2.) EM rendelet 8. § c) pontja hatályon kívül helyezte.
Az 5. § (4) bekezdése a 13/2025. (VI. 2.) EM rendelet 6. §-ával megállapított szöveg.
Az 5. § (4a) bekezdését a 17/2023. (IX. 21.) EM rendelet 3. §-a iktatta be, a 13/2025. (VI. 2.) EM rendelet 8. § d) pontja hatályon kívül helyezte.
Az 5/A. §-t a 91/2015. (XII. 23.) FM rendelet 5. §-a iktatta be.
Az 5/A. § (1) bekezdése a 8/2019. (III. 26.) AM rendelet 4. §-a szerint módosított szöveg.
A 7. §-t a 91/2015. (XII. 23.) FM rendelet 6. §-a iktatta be, a 47/2023. (XII. 29.) EM rendelet 1. §-a hatályon kívül helyezte.
A 8. §-t a 17/2023. (IX. 21.) EM rendelet 4. §-a iktatta be.
A hatálybalépés időpontja 2023. szeptember 22.
Az 1. számú melléklet a 91/2015. (XII. 23.) FM rendelet 7. § (1) bekezdésével megállapított szöveg.
A megfelelő válasz aláhúzandó.
A megfelelő(k) aláhúzandó(k).
A 4. számú melléklet 1. pont 1.1. alpontja a 91/2015. (XII. 23.) FM rendelet 7. § (2) bekezdése szerint módosított szöveg.
A 4. számú melléklet 1. pont 1.2. alpontja a 91/2015. (XII. 23.) FM rendelet 7. § (2) bekezdésével megállapított szöveg.
A 4. számú melléklet 2. pontja a 91/2015. (XII. 23.) FM rendelet 7. § (2) bekezdésével megállapított szöveg.
A 4. számú melléklet 3. pontja a 91/2015. (XII. 23.) FM rendelet 7. § (2) bekezdésével megállapított szöveg.
A 4. számú melléklet 4. pontja a 91/2015. (XII. 23.) FM rendelet 7. § (2) bekezdésével megállapított szöveg.
A 4. számú melléklet 4. pont 4.1. alpontja a 8/2019. (III. 26.) AM rendelet 3. §-a szerint módosított szöveg.
Az 5. számú mellékletet a 70/2017. (XII. 29.) FM rendelet 8. §-a hatályon kívül helyezte, újonnan a 33/2019. (VII. 9.) AM rendelet 4. § (1) bekezdése iktatta be, megjelölését 5. mellékletre változtatva, szövege a 13/2025. (VI. 2.) EM rendelet 7. § (1) bekezdésével megállapított szöveg.
A 6. mellékletet a 70/2017. (XII. 29.) FM rendelet 8. §-a hatályon kívül helyezte, újonnan a 33/2019. (VII. 9.) Korm. rendelet 4. § (2) bekezdése iktatta be.
A 6. számú melléklet 1. pontja a 13/2025. (VI. 2.) EM rendelet 7. § (2) bekezdésével megállapított szöveg.
A 6. számú melléklet 3.1. pont e) alpontját a 13/2025. (VI. 2.) EM rendelet 7. § (2) bekezdése iktatta be.
A 6. számú melléklet 3.2. pont 3.2.2 alpontját a 13/2025. (VI. 2.) EM rendelet 8. § e) pontja hatályon kívül helyezte.
A 6. számú melléklet 3.2. pont 3.2.3 alpontját a 13/2025. (VI. 2.) EM rendelet 8. § e) pontja hatályon kívül helyezte.
A 6. számú melléklet 3.3. pont 3.3.5. alpontja a 13/2025. (VI. 2.) EM rendelet 7. § (2) bekezdésével megállapított szöveg.
A 6. számú melléklet 5.2. pontja a 13/2025. (VI. 2.) EM rendelet 7. § (2) bekezdésével megállapított szöveg.
A 7. számú mellékletet a 91/2015. (XII. 23.) FM rendelet 7. § (3) bekezdése iktatta be.
A 7. melléklet 2.4. pont 2.4.1. alpontja a 8/2019. (III. 26.) AM rendelet 2. §-ával megállapított szöveg.
A 7. melléklet 3.7. pont 3.7.5. alpontját a 8/2019. (III. 26.) AM rendelet 2. §-a iktatta be.
A 7. melléklet 3.7. pont 3.7.6. alpontját a 8/2019. (III. 26.) AM rendelet 2. §-a iktatta be.
A 7. melléklet 3.7. pont 3.7.7. alpontját a 8/2019. (III. 26.) AM rendelet 2. §-a iktatta be.
A 8. számú mellékletet a 33/2019. (VII. 9.) AM rendelet 4. § (3) bekezdése iktatta be, megjelölését 8. mellékletre változtatva, szövege a 13/2025. (VI. 2.) EM rendelet 7. § (3) bekezdésével megállapított szöveg.
A 9. mellékletet a 33/2019. (VII. 9.) AM rendelet 4. § (4) bekezdése iktatta be.
A 9. számú melléklet 5.2. pont 5.2.3 alpontja a 13/2025. (VI. 2.) EM rendelet 7. § (4) bekezdésével megállapított szöveg.
A 9. számú melléklet 6. pont l) alpontja a 13/2025. (VI. 2.) EM rendelet 7. § (4) bekezdésével megállapított szöveg.
A 10. mellékletet a 33/2019. (VII. 9.) AM rendelet 4. § (5) bekezdése iktatta be.
A 11. mellékletet a 33/2019. (VII. 9.) AM rendelet 4. § (6) bekezdése iktatta be.
A 11. számú melléklet 3.1. pont 3.1.1. alpontja a 13/2025. (VI. 2.) EM rendelet 8. § f) pontja szerint módosított szöveg.
A 11. számú melléklet 6.1. pont 6.1.2. alpontját a 13/2025. (VI. 2.) EM rendelet 8. § g) pontja hatályon kívül helyezte.
A 11. számú melléklet 6.1. pont 6.1.3. alpontját a 13/2025. (VI. 2.) EM rendelet 8. § g) pontja hatályon kívül helyezte.
A 11. számú melléklet 6.5. pont 6.5.1. alpontja a 13/2025. (VI. 2.) EM rendelet 8. § h) pontja szerint módosított szöveg.
A 11. számú melléklet 6.5. pont 6.5.2. alpontja a 13/2025. (VI. 2.) EM rendelet 8. § i) pontja szerint módosított szöveg.
A 11. számú melléklet 7.2. pontja a 13/2025. (VI. 2.) EM rendelet 7. § (5) bekezdésével megállapított szöveg.
A 12. mellékletet a 13/2025. (VI. 2.) EM rendelet 7. § (6) bekezdése iktatta be.
A 13. mellékletet a 13/2025. (VI. 2.) EM rendelet 7. § (7) bekezdése iktatta be.
- Hatályos
- Már nem hatályos
- Még nem hatályos
- Módosulni fog
- Időállapotok
- Adott napon hatályos
- Közlönyállapot
- Indokolás
